“和利时杯”第十一届浙江省大学生服务外包创新应用大赛决赛结果公告
各参赛学校:
“和利时杯”第十一届浙江省大学生服务外包创新应用大赛决赛于2024年11月17日在浙江科技大学成功举行。各高校初赛选拔推荐后,全省共有33所院校的156支队伍报名复赛。经双盲网评复赛:并经本届大赛执行委员会审定,遴选出73支本科队伍和3支专科队伍入围总决赛。
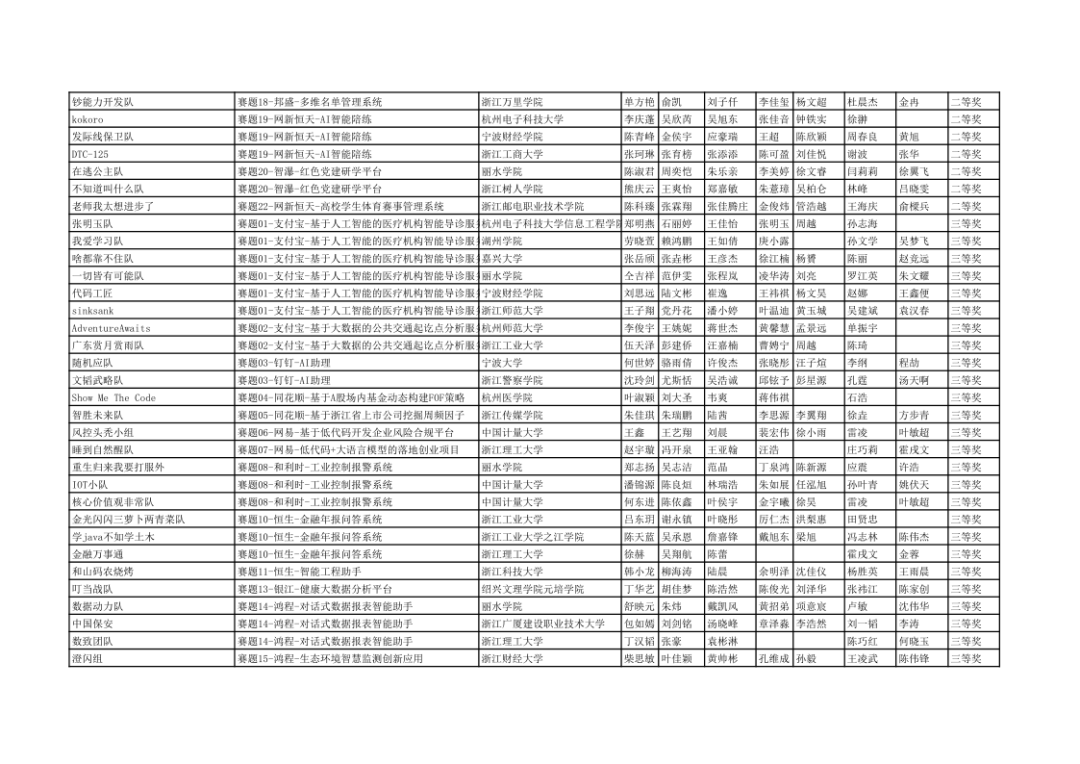
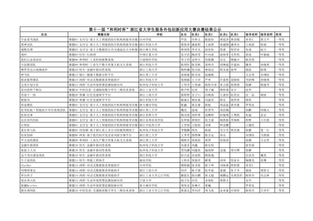
经过激烈角逐,本科组一等奖13名,二等奖24名,三等奖36名;专科组二等奖1名,三等奖2名、优秀指导教师、优秀组织奖等,现予正式公布。
一、第十一届“和利时杯”浙江省大学生服务外包创新应用大赛决赛结果公示
二、“和利时杯”第十一届浙江省大学生服务外包创新应用大赛优秀组织奖
原文详见(复制以下链接进浏览器查看):
https://mp.weixin.qq.com/s/lDNWG6izrtgI37AxAKLISA
苏公网安备32021402002828