首页
热门推荐
征集大赛
评审公示
赛事发布
当前位置:
首页
>>
评审公示
>>
工业产品揭晓
>>
工业设计
>> 正文
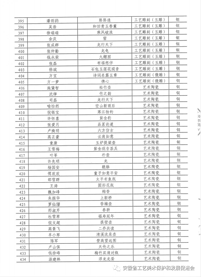
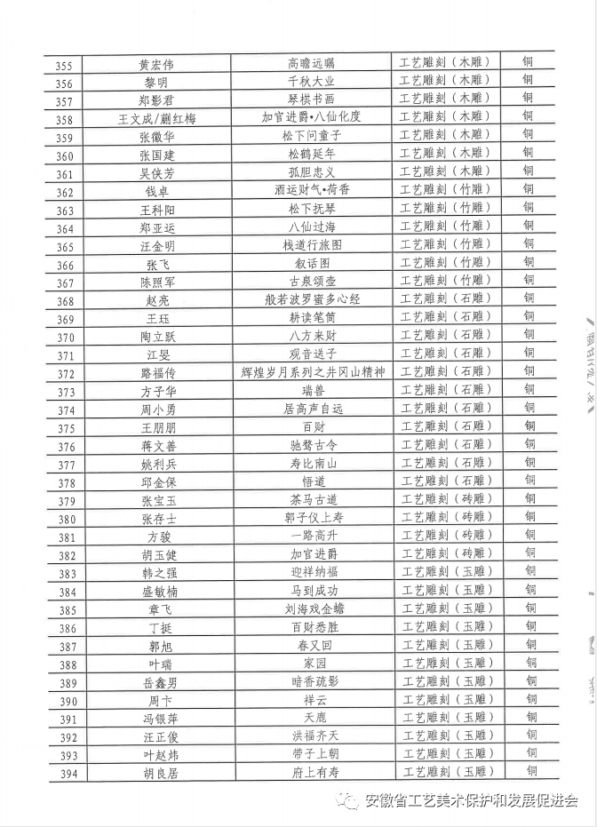
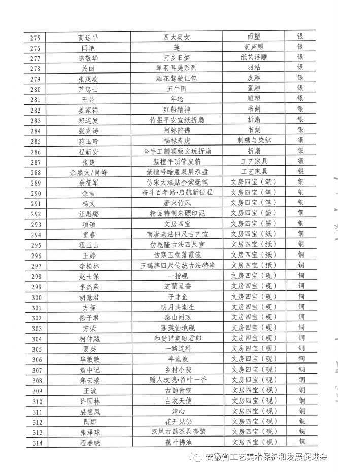
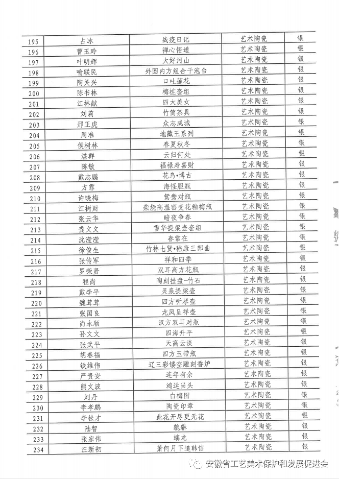
关于安徽省第十一届工艺美术精品博览会暨“徽工奖”获奖名单的公告
浏览量:
24803
次   发布时间: 2021-11-30
安徽省传统工艺美术保护和发展促进会
2021年11月26日
上一篇:
首届湘赣边烟花爆竹产品创意大赛结果新鲜出炉
下一篇:
2021JMA国际珠宝设计比赛获奖结果揭晓
顶部